
네트워크란?
- 한 지점에서 원하는 다른 지점까지 의미 있는 정보를 보다 정확하고 빠르게 상대방이 이해할 수 잇도록 전송하는 것
- 네트워크는 연결 형태에 다라서 유선 네트워크와 무선 네트워크로 구분
거리 기반 네트워크의 종류
| 구분 | 개념 | 특성 |
| PAN (Personal Area Network) |
5m 이내의 통신 방법 | - 거리가 짧은 특성 - 무선의 WPAN이 많이 활용 |
| LAN (Local Area Network) |
근거리의 동일 지역 내의 통신망 | - 50m 범위 이내 한정된 지역 - Client/Server와 peer-to-peer - WAN보다 빠른 통신 속도 |
| WAN (Wide Area Network) |
광대역 네트워크망, LAN사이를 연결하는 상호 연결망 |
- 에러율↑, 전송지연↑ - 전송 효율과 특성을 고려하여 설계 - 라우팅 알고리즘 중요 - 흐름제어와 과도한 지연제거 |
| MAN (Metropolitan Area Network) |
LAN과 WAN의 중간 형태 | - DQDB(Distributed Queue Dual Bus) |
# DQDB
- MAN 네트워크로 개발된 프로토콜
- 이중버스 구조, 53바이트 고정 길이 패킷을 슬롯이라는 단위로 전송
데이터 전송(Data Transfer) 방식
- 단방향 통신(Simplex)

- 반이중 통신(Half Duplex)

- 전이중 통신(Full Duplex)

네트워크 토폴로지(Network Topology)
- 네트워크의 요소들(링크, 노드 등)을 물리적으로 연결해 놓은 것, 또는 연결 방식
- 정보 통신망의 구성 == 어떤 형태로 연결할 것인가
| 토폴로지 형태 | 토폴로지 이름 | 장단점 |
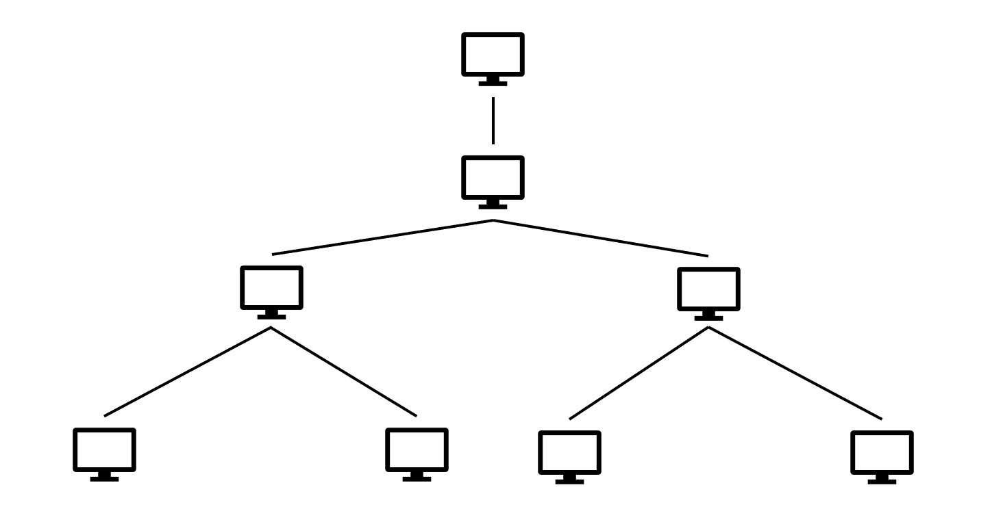
![]() |
계층형(Tree) | - 장점 네트워크 관리가 쉽고 확장이 편리 신뢰도 ↑ -단점 특정 노드에 트래픽이 집중되면 속도 ↓ 병목 현상 발생 가능 |
![]() |
버스형(Bus) | - 장점 설치비용↓, 신뢰성↑, 구조 간단 노드 추가가 용이 - 단점 데이터↑ 시 네트워크 병목 형상 발생 장애 발생 시에 전체 네트워크에 영향 |
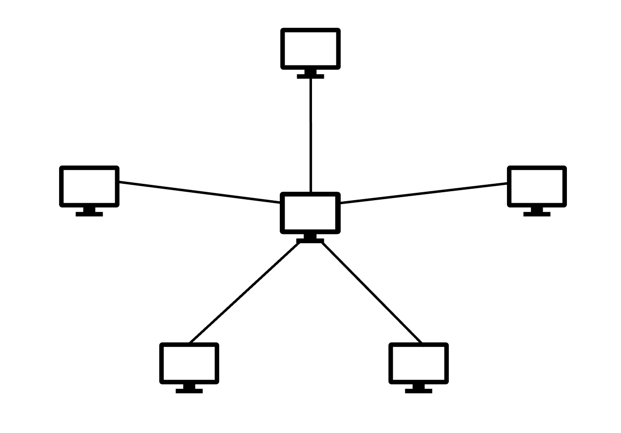
![]() |
성형(Star) | - 장점 고속의 네트워크에 적합 노드 추가가 쉽고 에러 탐지가 용이 노드에 장애가 발생해도 네트워크 사용 가능 - 단점 중앙 노드에 장애 발생 시 네트워크 사용 불가 설치 비용↑, 노드 증가 시 복잡도↑ |
![]() |
링형(Ring) | - 장점 노드의 수가 증가되어도 데이터 손실X 충돌 발생 가능성 X 경제적인 네트워크 구성 가능 - 단점 구성의 변경이 어려움 회선에 장애 발생 시 네트워크 사용 불가 |
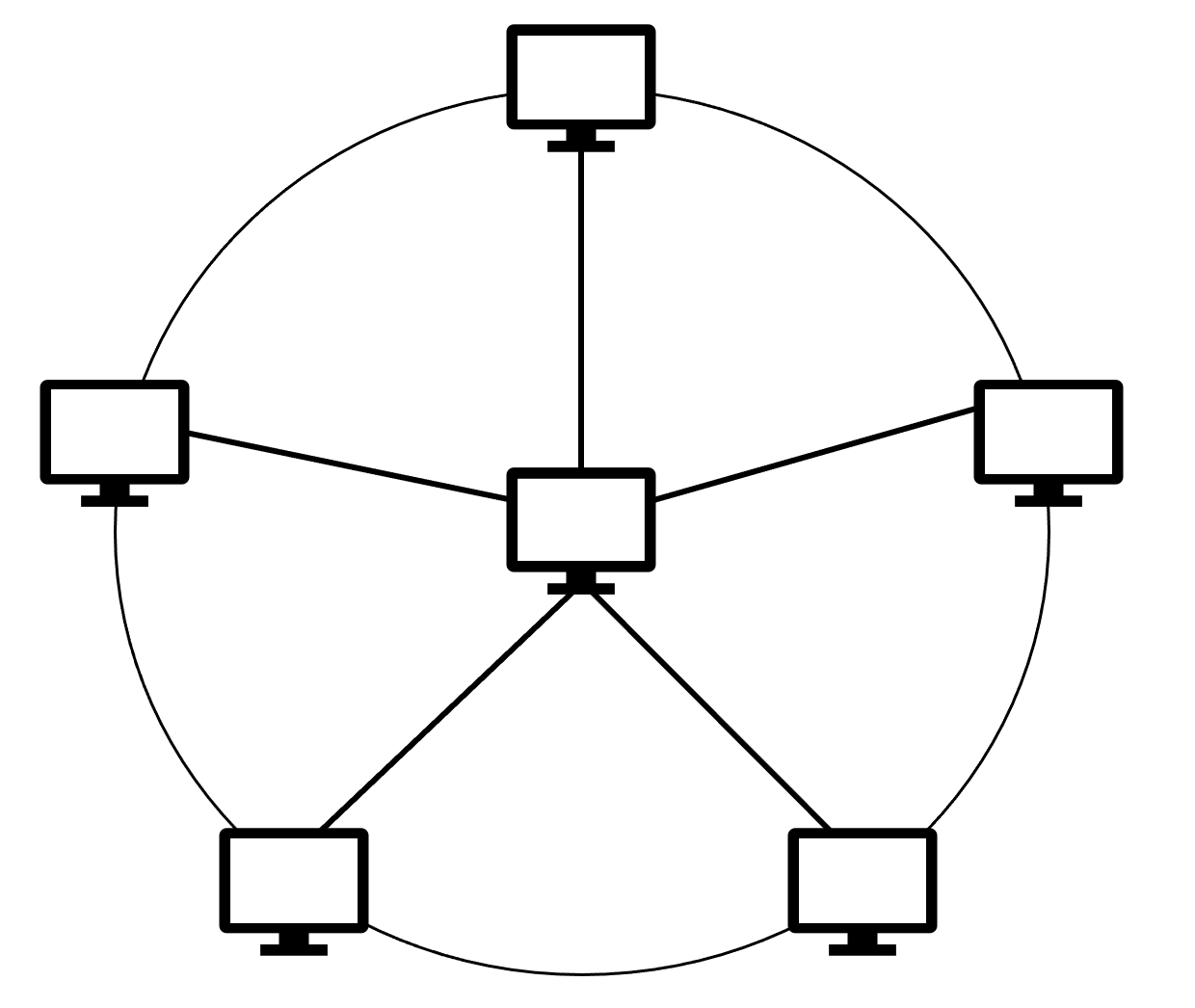
![]() |
망형(Mesh) | - 장점 완벽한 이중화, 장애 발생 시 우회하여 네트워크사용 가능, 많은 양의 데이터 송수신 가능 - 단점 구축 비용이 고가 운용 비용이 고가 |
회선 교환 및 패킷 교환
- 회선 교환(Circuit Switching)
Point to Point 방식으로 연결을 확립하고 안정적으로 통신할 수 있는 방법, 송신자와 수신자 간에 회선을 독점하는 것이 특징이다.

- 회선 교환의 특징
• 교환기를 통해 회선을 설정하여 직접 데이터를 교환하는 방식
• 직접 교환 방식으로 음성 전화 시스템에 활용
• 송신자의 데이터는 같은 경로로 전송
• 실시간으로 처리, 안정적인 통신
• Point to Point 방식으로 사용
- 회선 교환의 장점과 단점
| 구분 | 내용 | ||
| 장점 | - 고속으로 전송할 때 좋음 - 고정적인 대역폭을 사용 - 접속 이후에는 접속이 항상 유지 및 전송 지연 X, 데이터 전송률 일정 - 연속적인 전송에 적합 |
||
| 단점 | - 비효율적 - 같은 전송률과 같은 기종 사이에 송수신이 요구됨 - 에러없는 데이터 전송이 요구되는 구조에서 부족합 - 통신 비용이 고가 |
||
# QoS(Quality of Service)
- 네트워크 품질을 평가하는 지표
- 연결이 이루어진다는 것은 선로를 독점해서 사용하기 때문에 자원을 많이 사용하고 다중 통신이 어려운 문제점이 있다.
# 대역폭(Bandwidth)
- 데이터 통신에서 최고 주파수와 최저 주파수의 차이를 의미함
- 주파수의 상한과 하한의 차이로 헤르츠(Hz)로 표현
- 대역폭이 크면 클수록 많은 데이터를 전송
- 패킷 교환(Packet Switching)
송신 측에서 모든 메시지를 일정한 크기의 패킷으로 분해해서 전송, 수신 측에서 복원하는 개념
IP(Internet Protocol)라는 식별자를 이용하여 전송, 전송하고자 하는 데이터에 IP주소가 붙은 데이터를 데이터그램이라고 함.
네트워크의 상태(속도, 대역폭)에 따라 다른 경로로 발송한다.
# 패킷(Packet)
- 네트워크르르 사용하여 전송하기 위해 일정한 단위로 나는 데이터 전송 단위
- 데이터 송수신자가 하나의 단위로 처리하는 데이터 처리 단위

• 데이터를 최적의 경로로 전송하기 위해서는 경로를 결정하는 장비인 라우터(Router)가 필요
• 패킷 교환망(Packet Switching Network)은 송신자가 데이터를 일정한 크기의 패킷으로 분류하여 데이터를 전송, 수신자는 재조립
• 패킷에 대해서 우선 순위같은 것을 표시하여 중요 패킷 식별 가능
• 패킷 교환 네트워크는 공중 교환 데이터망(Public Switched Data Network)에서 사용된다.
- 패킷 교환의 특징
| 패킷 교환 네트워크 | 설명 |
| 다중화 | 패킷을 여러 경로로 공유 |
| 채널 | 가상회석 혹은 데이터그램 교환 채널을 사용 |
| 경로 선택 | 패킷마다 최적의 경로 설정 |
| 순서 제어 | 패킷마다 최적의 경로로 보내지기 때문에 도착 순서가 다를 수 있음, 패킷의 순서를 통제 |
| 트래픽 제어 | 전송 속도 및 흐름을 제어 |
| 에러 제어 | 에러를 탐지하고 재전송 |
- 패킷 교환의 장점과 단점
| 구분 | 내용 | ||
| 장점 | - 회선 이용률이 높고, 손도 변환, 프로토콜 변환이 가능, 음성통신 또한 가능 - 고 신뢰성 : 우회 전송이 가능하므로 전송의 신뢰성 보장 - 고품질 : 디지털 전성이기 때문에 오류 발생 시 재 전송이 가능함 - 고효율 : 다중화를 사용하므로 사용 효율이 좋음 - 교환망이 변환 처리를 제공 -> 이 기종 단말 간 통신 가능 |
||
| 단점 | - 경로에서의 각 교환기에서 다소의 지연 발생 - 패킷 별 헤더 추가로 인한 오버헤드 발생 가능성 존재 |
||
- 다이어그램과 가상회선
• 데이터그램(Datagram) : 패킷 교환 방식으로 동작하면서 IP주소를 사용하는 인터넷을 의미
• 가상회선 : 회선 교환 방식과 데이터 그램 방식의 장점을 결합한 통신 기술
→ 첫 패킷으로 최적의 경로를 고정하고 패킷으로 나누어 고속으로 전송하는 기술
→ 빠르고 안정적, 다수의 사용자가 동시에 사용하기에는 한계점이 존재
| 구분 | 내용 | ||
| 가상회선 (Virtual Circuit) |
- 패킷을 전송하기 전에 논리적 연결을 먼저 수행 - 송신자는 호출을 하고 호출 수신 패킷을 주고 잗아서 연결하는 방식 - 교환기에 패킷이 일시적으로 저장하여 일정한 전송률 보장X - 비교적 긴 메시지의 전송 시 더 효과적 - 이미 확립된 접속을 끝내기 위해 Clear Request 패킷을 사용 |
||
| 데이터그램 (Datagram) |
- 패킷을 미리 정해진 경로 없이 독립적으로 처리하여 교환하는 방식 - 망의 한 부분이 혼잡할 때 전송 패킷에 다른 경로를 배정 가능 → 융통성 있는 경로 설정 - 짧은 메시지의 패킷들을 전송할 때 효과적(재정렬 기능 필요) |
||
- 메시지 교환(Message Switching)
• 송신된 메시지를 중앙에서 축적하여 처리하는 방법 → 축척 교환 방식
• 메시지를 메모리에 저장하고 여러 수신자에게 데이터 전송 가능
• 전자우편에서 사용
# 축척 교환 방식
- 버퍼에 저장한 후에 저장이 완료되면 다시 읽어들여서 전송 경로를 결정하는 전송
- 메시지 교환 방식
• 메시지를 공유하여 데이터를 보낼 수 있다.
• 우선순위를 부여한다.
• 에러 제어를 제공한다.
• 응답 속도가 느리다.
• 대화형 시스템으로 사용하기 어렵다.
'Study Fundamental > Network' 카테고리의 다른 글
| 03. 데이터 통신 (1) | 2021.08.20 |
|---|---|
| 02. 근거리 통신 기술 (0) | 2021.08.16 |



